天大为家长颁发近千份“春节奖状”!
来源:天津大学2025年01月29日
叮咚~
天大颁发近千份春节喜报
“爸妈开心证”邮寄到家


岁末年初,荣耀共享
在学子过年回家之际
天津大学学生资助管理中心
为家乡的父母准备了一份
仪式感满满的“年货”
向杰出学生家长致贺

为发挥榜样引领示范作用,进一步落实育人工作,激发学生进取精神,强化家校协同,构筑家校联动桥梁,天津大学以评奖评优工作为契机,为荣获2023-2024学年本科生国家奖学金、本科生国家励志奖学金、研究生国家奖学金、天津大学优秀学生标兵奖学金和天津大学自强之星奖学金学生邮寄喜报到家。

天津大学学生资助管理中心精心筹备
印制精美喜报
统计邮寄信息
将一封封满载温情的喜报寄达家中
只为让辛劳的家人能够第一时间
分享天大学子成长进步的喜悦


本次喜报寄送总量近一千份
覆盖全国31个地区
向4个直辖市、4个自治区以及23个省份
送去了“天大”的喜讯


喜报送达,年味拉满!
不少同学晒出这份“硬核年货”
分享这份天大的喜悦




家长们收到“天大”的“奖状”
内心无比骄傲与自豪
向老师与学校发来感谢信

机械学院冯展宇同学家人分享

建工学院李凌蜂同学家人分享

环境学院贾若愚同学家人分享


环境学院邹佳一同学家人分享


环境学院戚润涵同学家人发来感谢信



环境学院朱钰辰同学家人发来感谢信


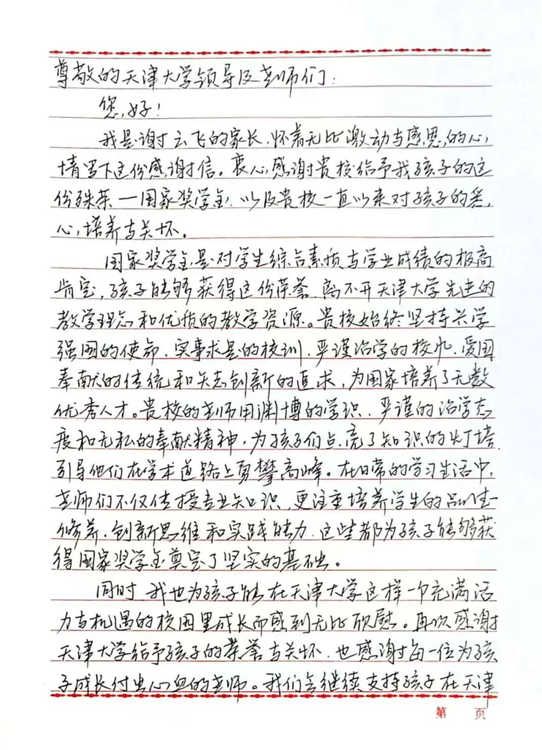
智算学部谢云飞同学家长发来感谢信

智算学部王屹坤同学家长发来感谢信
在天大奋斗的你
每一点进步都是父母的骄傲
每一滴汗水都是天大的自豪
你不负青山,青山定不负你
每一份荣耀
背后是家的温暖与力量
新春将至,愿喜报如春风
拂面暖心
祝福求学天大的学子和全体家长
再创佳绩,幸福绵长,巳巳如意
【责任编辑:曹竞 编辑:毕若旭】









