突破!西电这项成果有望改变精密微纳加工格局
近日
西安电子科技大学先进视觉研究所
石理平教授团队
完成了一项利用飞秒激光脉冲串
诱导非晶硅(α-Si)薄膜氧化
形成可调谐纳米光栅的
最新研究成果
对于实现高效率、高品质、
可调控的飞秒激光诱导自组织微纳加工
有重要参考意义
相关成果以
Burst Laser-Driven Plasmonic Photochemical Nanolithography of Silicon with Active Structural Modulation 为题
发表在 Ultrafast Science 上
西安电子科技大学是论文第一完成单位
合作单位还包括德国洪堡大学
和德国Max Born研究所

我们日常使用的光电元器件
如智能手机内的图像传感器、
电脑显示屏下的发光二极管等
都朝着更小、更精密的方向发展
因而对于精密微纳制造的需求也越来越高
近年来
电子束/离子束刻蚀、光刻、
纳米压印等微纳加工技术日渐成熟
然而这些技术所需的设备复杂
成本高昂

激光诱导表面周期性结构示意图
激光诱导表面周期性结构(LIPSS)
作为一种自组装加工技术
自1965年被发现以来
一直受到业界广泛关注
早期研究表明
飞秒激光烧蚀物体表面
可以大批量制备LIPSS
亦即实现大面积、高通量的
周期性纳米光刻
可是激光烧蚀产生的碎屑和热量残余等问题
会导致加工过程的可控性、可调谐性变差
针对上述问题
发展非烧蚀性的飞秒激光加工技术
成为实现高品质、可调控纳米光刻的
重要道路之一
前期研究已经发现
采用飞秒激光
诱导表面生成氧化性LIPSS
可一定程度提高加工的可控性
但仍难以实现加工结构参数的灵活调节
为此,该研究创新性地
使用飞秒脉冲串制备周期性纳米光栅
不仅取得了规则性更佳的纳米纹理
还通过改变单脉冲串脉冲数
成功实现了对LIPSS周期和深度的主动调制

单脉冲加工模式(上)与脉冲串加工模式(下)示意图
相较于使用重复单脉冲加工的传统技术
飞秒脉冲串中重复频率更高的子脉冲
会增加被辐照材料表面的热累积、
影响材料的有效折射率和吸收特性
进而让表面等离激元(SPP)的激发和传播
也发生变化
最终改变LIPSS的结构

不同加工参数下制备的样品
通过改变激光加工参数
(脉冲能量Ep与单脉冲串脉冲数量n)
制备的光栅样品
由所示样品可以发现:
适当选择n的数值
脉冲串加工模式带来的热累积
不仅会使LIPSS更易生成
还会保证其纹理规则性
当然也要注意n值过大时
样品表面会过度氧化甚至烧蚀

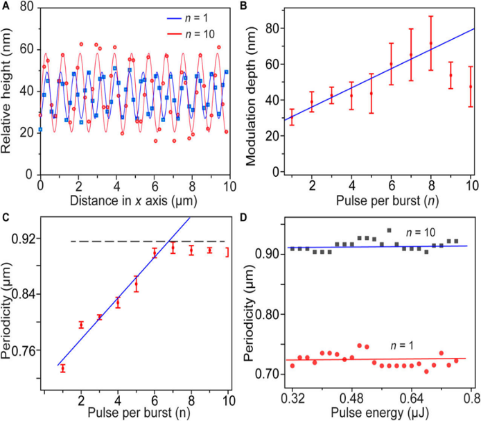
(A)LIPSS沿x方向的相对高度;(B)LIPSS的调制深度;(C)周期与单脉冲串脉冲数的关系;(D)LIPSS的周期与激光脉冲能量的关系
飞秒脉冲串对LIPSS周期与调制深度的影响
变化趋势类似
均随每一脉冲串所含脉冲数目n的增加
而线性增长
不过,当n值过大时
LIPSS周期与调制深度便不再增长
其中调制深度甚至还出现略微下降的情况
这或许是由于热量过度累积
损害了LIPSS的生成
作为对照
单脉冲加工模式下
依靠改变脉冲能量
几乎无法调制LIPSS的周期

(A,C和D)LIPSS的SEM图;(B)氧、铜和硅的二维EDX图
为了更全面、真切地洞悉LIPSS的真实面貌
由扫描电镜(SEM)与能量色散谱仪(EDX)
观测的样品图像共同反映出
实验所得LIPSS
是由大量被氧化的纳米颗粒组成
并且纳米颗粒的尺寸也会随
单脉冲串脉冲数增加而增加

大面积加工制备的LIPSS
最后
为了演示上述工艺
应用于大面积纳米光刻的可行性
团队使用柱透镜聚焦、
加工了大面积的纳米光栅
两种加工模式下制备的光栅
均有很好的规则性
可见脉冲串加工模式带来的额外热累积
在大面积加工时不会产生明显的负面影响
该研究表明
使用飞秒激光脉冲串
可以制备具有可控周期和调制深度的
高质量周期性纳米光栅
这种新颖的加工方法
可以应用于大面积的纳米纹理制造
这对于微纳加工领域是一个重要突破
同时也为更高效和更高质量的
纳米制造工艺奠定了基础
对于整个光电子产业而言
都具有相当大的应用潜力
加油,西电人!









